Normal-beam dual-crystal ultrasonic transducer with a built-in cable for transmitting and receiving the longitudinal ultrasonic waves
The ultrasonic dual crystal transducer D1471 with a built-in cable is used to perform wall thickness measurements and ultrasonic flaw detection in metallic, plastic and composite materials by transmitting and receiving ultrasonic longitudinal waves. The transducer can be used as a part of ultrasonic thickness gauges and flaw detectors in pulse-echo mode.
The transducer can be driven by the following ACS instruments:
| Type of transducer | dual element, piezoelectric with a built-in cable |
| Type of generated wave mode | Longitudinal |
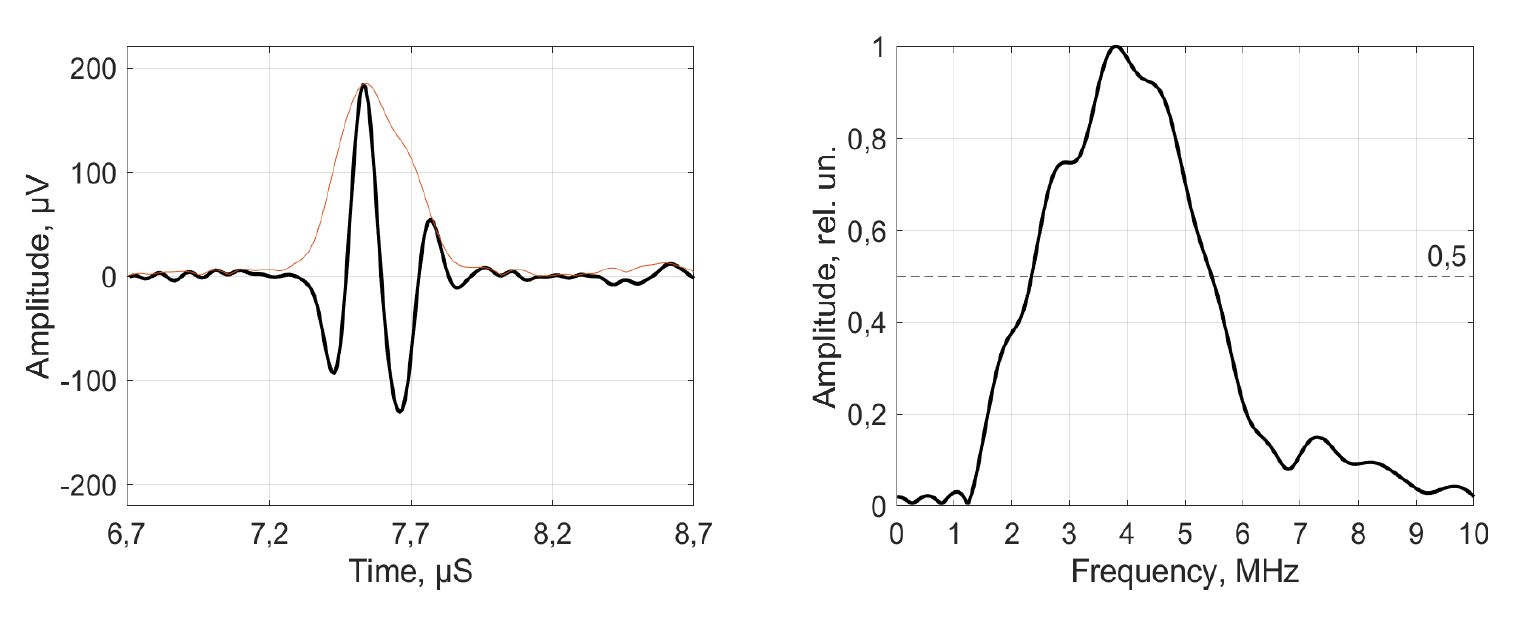
| Nominal frequency | 4 MHz |
| Effective transducer aperture diameter | 12 mm |
| Piezo-element electric capacity | 1500 ± 150 pF |
| Maximum excitation pulse voltage, V | ± 250 V |
| Operating temperature range | –30...+50°C |
| Connector type | 2 x LEMO00.250 |
| Dimensions | 36 × 24 mm |
| Weight | 58 g |

Acoustic Control Systems – ACS Group – Established in 1991 – is the International Provider of Innovative Ultrasonic Testing Equipment and Professional Inspection and Engineering Services.
The definitive distinction of ACS products is their high technological level and ease of use, matching the requirements of professional users in a wide range of practical applications. The main goal of our instruments is to reach top technical characteristics by affordable costs in combination with the perfect warranty service and methodical support of our customers.
More than 30 years of in-field testing experience in combination with scientific signal and image processing techniques and modern manufacturing processes by using the best components available on the market allow ACS to be always technologically one step ahead of competitors.
Your email address will not be published. Required fields are marked *
Ein Angebot bekommen